


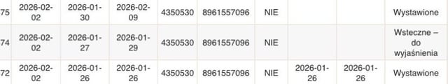
A fine gennaio ero al pronto soccorso. Hanno detto che mi avrebbero concesso un congedo per malattia per due settimane, ma si sono dimenticati di scriverlo, quindi quando li ho chiamati per sistemare la cosa, hanno dovuto riscriverlo, perché erano passati tre giorni. (Per favore risparmiati commenti del tipo AVRESTI DOVUTO VERIFICARE SE TI HANNO DAVVERO DATO UN LICENZIAMENTO, È COLPA TUA). Per qualche motivo, hanno rilasciato questo congedo diviso in tre parti, e mentre due parti sono arrivate al datore di lavoro senza problemi, la terza ha ricevuto lo status "all’indietro – da chiarire" ed è così da quasi due mesi… Qualcuno ha avuto una situazione simile? Posso accelerarlo in qualche modo "spiegando"?
https://www.reddit.com/gallery/1s7c4b7
di Hahacz_Chungus